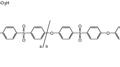
Poly(arylene ether sulfone) copolymers as binders for capacitive deionization activated carbon electrodes
Activated carbon electrodes for capacitive deionization (CDI) have been prepared using poly(arylene ether sulfone) random copolymers as binders. Due to the reduced mechanical …





