Cost effective cation exchange membranes: A review
Nov 3, 2011·,,
·
0 min read
R. S. L. Yee
R. A. Rozendal
K. Zhang
Prof. Dr. Bradley P. Ladewig

Abstract
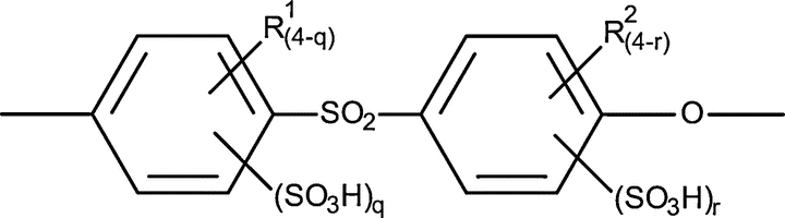
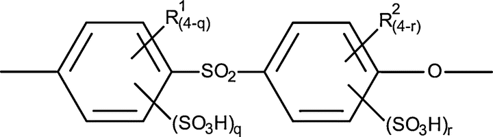
This paper will look at developments of new polymer electrolyte membranes to replace high cost ion exchange membranes such as Nafion®, Flemion® and Aciplex®. These perfluorinated polymer electrolytes are currently the most commercially utilized electrolyte membranes for polymer electrolyte fuel cells, with high chemical stability, proton conductivity and strong mechanical properties. While perfluorinated polymer electrolytes have satisfactory properties for fuel cell applications, they limit commercial use due to significant high costs as well as reduced performance at high temperatures and low humidity. A promising alternative to obtain high performance proton-conducting polymer electrolyte membranes is through the use of hydrocarbon polymers. The need for inexpensive and efficient materials with high thermal and chemical stability, high ionic conductivity, miscibility with other polymers, and good mechanical strength is reviewed in this paper. Though it is difficult to evaluate the true cost of a product based on preliminary research, this paper will examine several of the more promising materials available as low cost alternatives to ion exchange membranes. These alternative membranes represent a new generation of cost effective electrolytes that can be used in various ion exchange systems. This review will cover recent and significant patents regarding low cost polymer electrolytes suitable for ion exchange membrane applications. Promising candidates for commercial applications will be discussed and the future prospects of cost effective membranes will be presented.
Type
Publication
Chemical Engineering Research and Design
